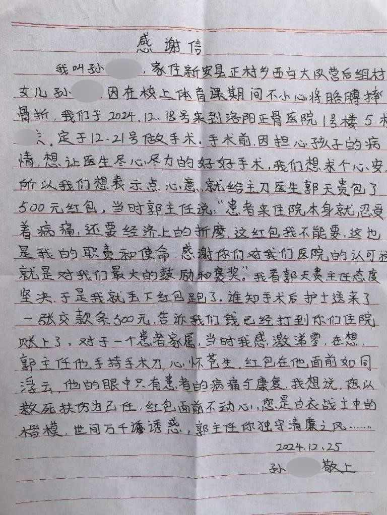
“救死扶伤为己任,红包面前不动心”,这是患者家属对小儿骨伤二科郭天贵医生的评价。2024年12月25日上午,患儿家长到护士站放下一封感谢信,以表示对郭天贵医生的感谢。

患儿小孙,12月18日上体育课时摔伤胳膊,来到我院小儿骨伤二科就诊。入院后,时国富主任与郭天贵医生一起为患儿制定了一套详细的诊疗计划和手术方案。12月20日手术前,患儿家长为求心安,给郭天贵医生送了500元红包,当时郭天贵婉言拒绝,说:“治病救人是我的职责,你们能来到正骨医院就诊是对医院的认可,是对我们最大的鼓励和褒奖。”
家长见郭天贵不收,便趁医生不注意把红包放到办公桌上便离开了。郭天贵发现后,当即把钱交到病人账上。手术很顺利,孩子的病情也稳定了,手术后第二天,拿到缴费收据时,患儿家长才知道这事。怀着感恩的心情,家长送来了这封感谢信。
感谢信不长,但字里行间表达的是对医生的认可,是对医生的感谢。这份认可和感谢,将鼓励和鞭策每一位医务人员不断提升技术水平和服务质量,更好地为病人服务。